How to improve your confidence in volumetric estimates

What if you could get real simulation models for your APA2025 application, fast and without software license fees? Now you can.

We have developed a complete workflow to evaluate subsurface uncertainties that produces Eclipse output for Petrel. It is fast and simple. It produces real production forecasts, not just type curves. And since it uses open source software, there are no expensive licence fees.

Let’s show an example below. The Cassiopeia prospect lies west of the Hanz discovery. Our workflow starts with the top map and seismic attributes.

 

In a few steps it creates a grid with faults based on dip detection. It fills it with initial properties and produces first-pass volumetrics.

You can use the attributes to model properties, or interpolate well data or create more complicated property models. The resulting grids are exported in Eclipse format.

It is simple to add wells to the grid. They can be conventional, have hydraulic fractures or fishbone completions.

 
 

Simulation models are defined through a spreadsheet. The models produce Eclipse output that can be read by Petrel RE or ResInsight. No need to set up a workflow; it takes just a few steps to run tens or hundreds of simulation models

 

Tornado plots highlighting uncertainty

Tornado plots come automatically. Here is an example for a few of the sensitivities.

 

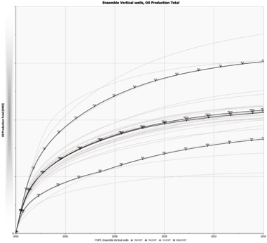
Parameters that are not normally part of prospect evaluation can have a significant impact on ultimate recovery. This example below shows the effect of the oil API, Kv/Kh and lift gas on cumulative oil production (the red labels in the plot). You can also get statistics for each production ensemble.

 

The forecasts are real simulations, not type curves. These will result in better quantification of the prospect economics, and highlight unexpected risks or upside. You can also test different development options, rather than just assume a recovery factor range.

 

We run these models based on 25+ years of industry experience with developments and production optimisation in operating companies. And with this fast and open-source workflow, you get Eclipse output without expensive software licence fees.

From seismic to simulation – quickly.

Learn more? Please don’t hesitate to contact us!

Previous
Previous

How do you give the C-suite the clarity to navigate CCS?

Next
Next

Collaboration and risk-sharing needed to revitalise Norwegian oil and gas exploration